近日,bbin
物理系青年教师徐兴亮博士获得由日本中間子科学会颁发的2019年度“若手奨励賞”(青年学者奖),以奖励其在缪子技术研究中取得的优秀成果。
多铁性材料是指材料的同一个相中包含两种及两种以上铁性有序,如(反)铁磁性、(反)铁电性和铁弹性等,并且铁性之间会产生耦合作用。因其独特的物理性质,这类功能材料在新型磁电器件、信息存储与处理和自旋电子器件等方面具有巨大的应用前景。近年来,多铁性材料的开发及其机理研究一直是当前的热点话题。
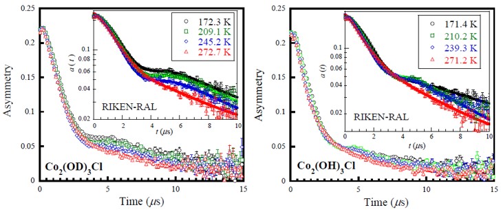
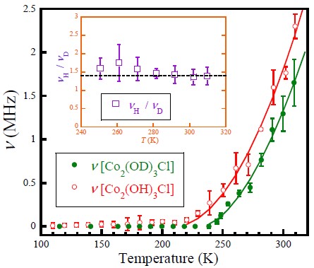
徐兴亮课题组一直致力于利用缪子自旋弛豫(Muon Spin Relaxation,μSR)技术研究磁性与多铁材料的物理机制,重点以羟基卤化物Co2(OD)3X/Co2(OH)3X (X=Cl, Br)体系为研究对象。这类化合物的晶体结构中Co2+离子位于四面体的顶点,各顶点相连形成三维网络状的四面体晶格,可视为由三角晶格面和笼目晶格面交替叠加而成 (图1)。近年来课题组发现这类化合物中出现了不寻常的磁-介电-晶格耦合行为,因此对该类磁性体中的几何阻挫(geometric frustration)行为以及由此引起的量子简并磁基态进行了系统研究。通过μSR实验发现μSR时间谱在其铁电相变温度(220K-230K)附近出现了1μs-1级程度的变化(图2),这暗示晶体内部出现了缓慢的磁波动行为,这种磁波动被定量的证实是由质子/重氢原子核的核磁场磁矩引起的。特别需要注意的是这种与室温接近的温度范围内的缪子自旋弛豫动态行为,可能是由于缪子本身的热扩散引起的,因为缪子质量只有质子的九分之一,课题组通过计算发现高温区质子与重氢原子的波动率之比等于它们质量反比的平方根值,该结果可以明确排除缪子热扩散的因素影响 (图3)。此外,通过分析这些具有很强温度依赖性的波动率,并结合介电常数在相变温度附近出现的异常所对应的宽峰,结果暗示该类化合物可能属于弛豫铁电体。另外,结合拉曼光谱等实验数据,课题组阐明了上述化合物中的多铁性机理(图4)。这种与磁性几何阻挫紧密相关的新颖量子特性引起了研究者极大的兴趣,期待后续进一步加以研究和探讨。
上述研究成果由bbin
、日本佐賀大学、日本理化学研究所合作完成,得到了国家自然科学基金委、浙江省自然科学基金委和日本学术振兴会的资助。
参考文献:
[1] X. L. Xu, et al., “Hydrogen/Deuterium Dynamics in Hydroxyl Salts Co2(OH)3Br/Co2(OD)3Br Revealed by Muon Spin Relaxation”, Materials 12, 2135 (2019).
[2] X. L. Xu, et al., “Critical slowing of quantum atomic deuterium/hydrogen with features of multiferroicity in the geometrically frustrated system Co2(OD)3Cl/Co2(OH)3Cl”, Phys. Rev. B 95, 024111 (2017).
相关内容简介:
(1) 日本中間子科学会(Society of Muon and Meson Science of Japan,JMMS),是为了推进利用缪子和介子束的研究(中間子科学),在促进会员之间相互交流的同时,以中間子科学的传达和启蒙为目的的一个组织。学会网址://jmeson.org/
(2) 缪子自旋弛豫(Muon Spin Relaxation,μSR):利用极化缪子衰变产生正电子的空间分布不对称性在原子尺度上研究材料内部磁场的静态分布和动态涨落的一种技术。缪子具有磁矩和本征自旋极化特征,不需要像别的磁共振法一样加外部磁场就可以观测到本来完全极化的磁矩(自旋)在注入物质瞬间后如何随时间而变化。缪子只对紧邻原子产生的局部磁场敏感,对从10−4 s到10−12 s的时间范围内的自旋涨落都很敏感,而且因为它的巨大的旋磁比(gm = 2π´135.54 MHz/T),可以轻易的检测出0.01μB的微小磁矩。μSR就是依托大型质子加速器衍生出缪子束注入试样,从原子尺度的角度来探测物质内部磁性状态的一种方法,可以应用于磁学、超导体、化学、以及软物质等方面。国际上目前四个国家已拥有μSR平台,分别是: [1]加拿大TRIUMF(//muonsources.org/); [2]瑞士PSI(//www.psi.ch/lmu/); [3]日本J-PARC(//www2.kek.jp/imss/msl/); [4]英国ISIS(//www.isis.stfc.ac.uk/groups/muons/)。目前中国正在基于中国散裂中子源(CSNS)的加速器建设缪子源EMuS(//csns.ihep.cas.cn/)。

图(1).晶体结构 图(2). μSR时间谱

图(3).质子/重氢原子核的波动率 图(4).拉曼附加振动模式的强度与温度依赖关系

获奖证书
(应用物理系 徐兴亮课题组)